Reference: Beginning Physics I
CHAPTER 14: FLUIDS IN MOTION (HYDRODYNAMICS)
.
KEY WORD LIST
Viscosity, Viscous Forces, Non-Viscous Fluids, Turbulent Flow, Steady-State Flow, Laminar Flow, Flow Line, Streamline, Flow Tube (Stream Tube), Incompressible Fluid, Ideal Fluid, Equation of Continuity, Bernoulli’s Equation, Torricelli’s Theorem, Venturi Tubes, Stagnation Point, Aerodynamics, Coefficient Of Viscosity, Poiseuille’s Law, Stoke’s Law, Reynold’s Number
.
GLOSSARY
For details on the following concepts, please consult CHAPTER 14.
VISCOSITY
In general, there are shear forces between layers of fluids that move past each other and between the moving fluids and boundary surfaces. This property of fluids is called viscosity.
VISCOUS FORCES
The shear forces of viscosity are frictional in nature. They are called viscous forces.
NON-VISCOUS FLUIDS
For some fluids the viscous forces can be quite small, especially when they are moving slowly. In such vases one can ignore viscosity. Such a fluid is known as a non-viscous fluid.
TURBULENT FLOW
Much fluid motion is quite complex, with the flow pattern at any given point changing over time. Such motion is called turbulent flow. Turbulent flow is characterized by swirling and eddies and constantly changing patterns of motion.
STEADY-STATE FLOW
In many cases, however, the flow pattern at any point stays the same from moment to moment. Such motion is called steady-state or just steady flow. It is also called laminar flow.
LAMINAR FLOW
See STEADY-STATE FLOW.
FLOW LINE
The flow line of a particle of water moving in a stream is the path it takes. In steady flow, any particle that is located on the flow line of a previous particle will repeat the motion of that particle.
STREAMLINE
The streamline of a flow is the flow pattern of the entire fluid at a given instant, retaining knowledge of the velocities of all the particles at that instant. In steady flow, the streamlines remain constant in time. For steady-state flow, two streamlines can never cross each other.
FLOW TUBE (STREAM TUBE)
A flow tube is made up of the streamlines that pass through the perimeter of a small cross-sectional area in steady state. The flowing fluid can never cross the boundary of the tube.
INCOMPRESSIBLE FLUID
For an incompressible fluidthe changes in the densities from location to location are so small that we can ignore them.
IDEAL FLUID
An incompressible fluid that has no viscosity is called an ideal fluid.
EQUATION OF CONTINUITY
The mass of fluid that flows into one end of the flow tube in a given time interval must be the same as the mass that flows out the other end in the same time interval.
BERNOULLI’S EQUATION
TORRICELLI’S THEOREM
If you have a container filled with fluid with small hole at the bottom of the container, the fluid leaves through the hole with velocity same as it would experience if dropped from the same height to the hole level.
VENTURI TUBES
(a) The pressure in the pipe is determined by observing the height of water in the tube.
(b) The tube acts like a open-tube manometer and measures the gage pressure of the flowing liquid.z
(c) The height difference of the mercury (corrected for the different heights of fluid above the mercury on the two sides) directly measures P2 — P1. This also yields velocity per P2 — P1 = ½ dv12.
STAGNATION POINT
The stagnation point is a small region or point right in front of the tube at 2 in figure (c) above, where the fluid is at rest since it must go around one or the other side of the tube.
AERODYNAMICS
An airplane in motion is supported by the pressure difference between the top and undersides of the wing. Compression of the streamlines above the wing means that the flow tube above the wing has a smaller cross-sectional area and, therefore, greater velocity of the air. This greater velocity implies lower pressure.
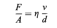
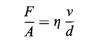
COEFFICIENT OF VISCOSITY
For fluid in steady flow between parallel plates, the stress is proportional to the velocity gradient, where the coefficient of viscosity is the proportionality constant,
POISEUILLE’S LAW
The volume flow rate depends on the fourth power of the radius of the pipe, as well as on the change in pressure per unit length along the pipe.
STOKE’S LAW
When an object moves through a viscous fluid in such a way that the fluid is in steady flow past it, the viscous forces on the object are, to a good approximation, proportional to the relative velocity and the coefficient of viscosity. The expression for the force will vary with the shape of the object. For sphere,
REYNOLD’S NUMBER
The Reynold’s number is a dimensionless quantity that depends on four factors: the density d of the flowing fluid, the coefficient of viscosity , the average relative velocity of the fluid v, and the characteristic linear dimension L of the solid boundary. For flow through a pipe, L is the diameter of the pipe. For an object moving through a fluid, L can be taken as some average linear dimension of the object facing into the fluid flow. In all cases the expression for the Reynold’s number is
When R exceeds a certain value for the geometry at hand, the flow turns from steady to turbulent. A good rule of thumb for fluids flowing through a pipe is that when R exceeds 2000, the flow becomes turbulent. Similarly for a sphere moving through a fluid, the critical value of R is about 10.
.










