Reference: Beginning Physics I
CHAPTER 12: SIMPLE HARMONIC MOTION (SHM)
.
KEY WORD LIST
Simple Harmonic Motion, Periodic Motion, Period, Frequency, Reference Circle, Time Interval, SHM Time Equations, Spring Motion, Torsional Motion, Simple Pendulum
.
GLOSSARY
For details on the following concepts, please consult CHAPTER 12.
SIMPLE HARMONIC MOTION (SHM)
It is the back-and-forth type vibratory motion of an object that is subjected to Hooke’s Law type force, which is a restoring force that is proportional to the displacement from the equilibrium position (F = -kx). Since the force is varying, the acceleration of the object, and its velocity is also varying.
The uniformity of circular motion and rotation does not occur in SHM.
PERIODIC MOTION
Periodic motion is motion repeated in equal intervals of time.
PERIOD (T)
The period (T) is defined as the time to make one complete repetition of the motion. Thus, T is the time interval from when the object traverses any position x moving in a given direction to the next time the object traverses position x moving in the same direction.
FREQUENCY (f)
The frequency f of the periodic motion is the number of repetitions per second. It is the reciprocal of the period: f = 1/T.
REFERENCE CIRCLE
Consider a particle undergoing uniform circular motion on a circle about the origin of a coordinate system.
As the particle moves around the circle, its shadow moves back and forth along the x-axis. Finding the time equations for the shadow’s motion is equivalent to finding the time equations for SHM. For this reason, this circle is called the reference circle for SHM.
TIME INTERVAL
SHM TIME EQUATIONS
In general,
SPRING MOTION
TORSIONAL MOTION
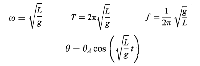
SIMPLE PENDULUM
.








