Reference: Beginning Physics I
CHAPTER 10: RIGID BODIES II: ROTATIONAL MOTION
.
KEY WORD LIST
Rotational Motion, Angular Displacement, Angular Velocity, Angular Acceleration, Period, Frequency, Torque, Moment of Inertia, Linear and Angular Relationships, Table of Analogs, Conservation of Angular Momentum, CM Frame
.
GLOSSARY
For details on the following concepts, please consult CHAPTER 10.
ROTATIONAL MOTION
In the following sketch, a body in x-y plane is rotating around the z-axis. The orientation of the rigid body can be completely specified by giving the orientation angle of a single chosen line segment etched in the body.
ANGULAR DISPLACEMENT
The angle is called the angular displacement of the rigid body. By convention, the angle is considered positive when it is measured counterclockwise from the x-axis.
ANGULAR VELOCITY
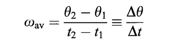
To get an idea of how fast the body is rotating, we define the average angular velocity in a given time interval as follows:
The instantaneous angular velocity is defined as the limit of average angular velocity as follows:
The angular velocity is positive for counterclockwise rotation. For constant angular velocity, we have
ANGULAR ACCELERATION
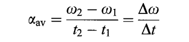
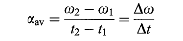
The average angular acceleration is the rate of change of the angular velocity.
The instantaneous angular acceleration is,
Thus, we have for constant acceleration,
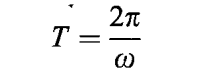
PERIOD
The time to make one complete revolution is called the period of the motion. For constant angular velocity, the period stays the same from one revolution to the next.
FREQUENCY
The frequency is the number of revolutions per second.
TORQUE
We consider the axis of rotation fixed in the z-direction. Then the torque is along the z-axis, and the forces causing this torques and their displacements lie in the x-y plane. All the internal torques in a rigid body add up to zero. Thus, the only torque left is due to external forces,
MOMENT OF INERTIA
We define the moment of inertia of a body about the z-axis as,
LINEAR AND ANGULAR RELATIONSHIPS
At any instant, the angular and linear properties are related as follows:
DISPLACEMENT: s = R and s = R
VELOCITY: v = R and v = R
ACCELERATION: at = R and ar = 2 R
TABLE OF ANALOGS
Work done in rotation a rigid body, Kinetic energy in rotation, Work-energy theorem applied to a rotating object, the power of rotation, angular impulse, and angular momentum are all rotation analogs of the definitions for linear motion.
CONSERVATION OF ANGULAR MOMENTUM
If the resultant external vector torque (about the origin) for a system of particles is zero, then the vector sum of the angular momenta of all the particles stays constant in time.
For the special case of objects rotating about a fixed axis: If the total external torque about the axis is zero, then the total component of angular momentum along that axis does not change.
CM FRAME
The CM Frame is a coordinate system whose origin is fixed at the CM (Center of Mass) of the object. The CM Frame moves with the object, but its axes remain parallel to the axes of a coordinate system fixed in an inertial frame.
The translation of the object is the same as the translation of the CM. The rotation of the object is about an axis that passes through the CM. If the direction of this axis of rotation remains fixed, then all the laws of rotation hold.
The total kinetic Energy of an object in the inertial frame is given by,
.

















Comments
i like it v v much