Reference: Beginning Physics I
CHAPTER 8: IMPULSE AND LINEAR MOMENTUM
.
KEY WORD LIST
Impulse, Momentum, Conservation of Momentum, Elastic Collision, Inelastic Collision, Coefficient of Restitution, Ballistic Pendulum, Center of Mass
.
GLOSSARY
For details on the following concepts, please consult CHAPTER 8.
IMPULSE
Impulse is the product of the average force acting upon a body and the time during which it acts, equivalent to the change in the momentum of the body produced by such a force.
I = Ft
I may be resolved into x and y components. It is equal to change in momentum,
MOMENTUM
If an object of mass m is moving at a given instant of time with velocity v then,
The concept of linear momentum can be generalized to two or three dimensions.
CONSERVATION OF MOMENTUM
When there are no external forces acting on a system (or when the resultant of external forces acting on a system is zero), the total momentum of the system is conserved. In other words, total final momentum = total initial momentum.
ELASTIC COLLISION
An elastic collision is one in which the total kinetic energy of the colliding objects is the same just before and just after the collision.
INELASTIC COLLISION
An inelastic collision is characterized by a certain disappearance of kinetic energy in the collision process.
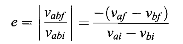
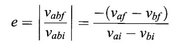
COEFFICIENT OF RESTITUTION
The coefficient of restitution (e) is defined as the ratio of the magnitude of the relative velocity after the collision to that before the collision.
For an elastic collision, e = 1. Generally speaking, the smaller the e value, the more thermal energy is generated and hence the more kinetic energy is lost.
BALLISTIC PENDULUM
A ballistic pendulum is a device that is used to measure the velocities of small swift projectiles such as bullets. See the sketch above.
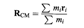
CENTER OF MASS
The center of mass is the point at which the entire mass of a body may be considered concentrated for some purposes. It is defined as the position of the average displacement of the particles of the body, weighted according to mass.
For a rigid body, the center of mass of the body moves as if it was a particle having a mass equal to the total mass of the body acted on by the resultant force on the body. The center of mass is a geometric point fixed in relation to a rigid body, but it is not necessarily in the body.
.




