The concept of field was conceived by Faraday. Faraday was an experimentalist and not a theorist. Based on extensive experimentation, Faraday boiled down the phenomena of electricity and magnetism to “lines of force” that originated from and terminated at material points. Faraday suggested that the lines of force acted as the medium for radiative phenomena, thus dispensing with the then popular idea of aether. This was the idea of the field. To Faraday, there was no “action at a distance.” The force between material bodies transmits through the field.
Maxwell supported the field idea. He also saw space not as something standalone but as a dimension of force. He saw Faraday’s approach to be compatible with the theory of potential from the mathematical discoveries of Laplace, Poisson, Green and Gauss. Thus he described the electromagnetic field-substance with the above four equations.
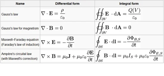
The Maxwell’s equations describe the dynamics within an electromagnetic cycle as follows:
The electrical lines of force flow in straight lines due to charge (misalignment) in the field. The magnetic lines of force rotate in circles around the electrical lines. The electrical flow slows as it converts into magnetic rotation. But then magnetic rotation converts back into electrical flow as it overshoots the point of equilibrium like in case of a pendulum. This electromagnetic cycle has a frequency.
Electromagnetic cycles of increasing frequency then form the spectrum of field-substance. An electromagnetic pulse propagates in field-space at a very high speed constrained only by its rate of formation. Maxwell showed this speed by the following relationship,
c = 1/√(μ0ε0)
Where
μ0 is permeability, which is a measure of how easily a magnetic field can pass through field-space.
ε0 is permittivity, which is the measure of resistance that is encountered when forming an electric field in field-space.
This speed is determined to be 3 x 108 m/s for light, which forms the visible part of the spectrum of field-substance.
Maxwell treated field-substance as something that spread out in three-dimensions as a continuous potential. In 1905, Einstein discovered that, at high frequencies, the field-substance acts as if it is made of particles (see Einstein’s 1905 Paper on Light Quanta). “Light quanta” were formed at higher frequencies. We know them today as “photons”. Einstein called this phenomenon quantization of light. Though deemed as particles, photons maintain continuity with each other through the background field.
Einstein’s discovery of “light quanta” points to the evolution of a continuous field into discrete particles at higher frequencies in the spectrum of field-substance.
Einstein’s discovery was the beginning of Quantum mechanics. It lead to the discovery of many more quantum particle. The phenomenon of quantization supports the hypothesis that field-substance provides the bridge between continuous space and discrete matter.
The atom is made up of very high frequency field-substance.
.
