Reference: Beginning Physics II
Chapter 16: SPECIAL RELATIVITY
.
KEY WORD LIST
Relativity, Observer, Ether, Ether vs. Field, Michelson’s Experiment, Einstein’s Postulates, Simultaneity, Time Dilation, Length Contraction, Lorentz Transformation, Mass, Relativistic Mass, Energy, Total Energy, Spacetime, Spacetime Framework, Size of a Light Particle,
.
GLOSSARY
For details on the following concepts, please consult Chapter 16.
RELATIVITY
The velocity of a planet made of rock (v) is so small compared to the velocity of ephemeral light (c) that c appears not to vary at all even when compared with the largest variations in v. This fact underlies the theory of relativity. The final clarification by Einstein was that light is a physical wave and not a wave in some physical medium other than light. That was a great confusion that had dominated physics for over a century.
OBSERVER
The “observer” of Einstein may best be compared to a viewpoint that stands beyond the whole scale of motion. That is a scientific notion that lies at the interface of physics and metaphysics. Please see The Static Viewpoint.
ETHER
If there is anything like “ether” as the “medium of light,” then it would be a medium that underlies all physical substance and not just light. In other words, ether does not represent a definite inertial reference frame that lies somewhere on the scale of motion. In fact, ether represents the whole scale of motion. The ether has been incorporated in the concept of “observer” in Einstein’s theory of relativity. It is free to attach itself to any particle—either matter or light.
ETHER VS. FIELD
These two concepts are very different. Ether was postulated as the medium in which a wave of light was formed according to the wave theory. On the other hand, Field is conceived as the energy substance of light itself according to the quantum theory.
MICHELSON’S EXPERIMENT
Michelson and Morley tried to find changes in the velocity of light traveling along perpendicular paths at different times of the year and found no differences. They concluded that the velocity of light was always c for an observer on earth, no matter in which direction the observer was moving, or, in other words, all observers measure the same speed of light, c.
EINSTEIN’S POSTULATES
Einstein made two postulates: first, that the laws of nature were identical for all inertial observers, as with Newton’s laws of mechanics; second, that there was no special medium, or “ether”, and that light waves traveled with the same speed in any direction in empty space as measured by all inertial observers. These included observers moving relative to each other while measuring the same light wave!
Here the observers are attached to Earth. So, we are measuring the speed of light relative to the speed of Earth. There is no way of knowing the speed of Earth in space. All we have is the speed of Earth relative to the Sun, which is something very different. It appears that the speed of “Earth in space” is infinitesimal compared to the speed of “light in space.” That is why Einstein’s postulates work.
SIMULTANEITY
Einstein argued that if all inertial observers measure the same light beam as traveling with velocity c, irrespective of their motion relative to each other, the simultaneity assumption does not prove out to be true. But this is only true because the speed of light is finite. An unattached observer, who is looking at the whole scale of motion simultaneously, will be able to see the differences in speeds, and explain simultaneity accordingly depending on distances. In other words, our perception is affected by the finite speed of light, but not intuition.
TIME DILATION
in Einstein’s theory, moving clocks run at a slower rate than stationary clocks, even if the clocks are identical. The time interval between successive “ticks” on the clock (its period) will be longer when observed by an observer, A, that sees the clock moving, than by an observer, B, at rest with respect to the clock. Thus, observer A will say that the moving clock runs slow compared with an identical clock that is not moving. In this case, V is much smaller than c.
Since c = wavelength/period, as wavelength increases the period shall increase too. This is time dilation. Therefore, increased speed is equivalent to increased wavelength of “energy substance in space.” When that substance is mass, we may say that increased speed “softens” the mass. This is like proton mass softening into electron mass in an atom.
Here the increased speed is not an increase in “relative speed.” It is an increase of speed “in space.” In other words, when we are looking at wavelengths, we are looking from the framework of spacetime, and not in some inertial frame.
The confusion comes from considering the time dilation in an inertial framework. No such confusion arises when one thinks in the spacetime framework.
LENGTH CONTRACTION
In Einstein’s theory length contracts in the direction of motion. Therefore, two observers approaching each other will each see lengths contract in the other’s framework. This is confusing because here one is dealing with relative velocities. Actual length contraction will depend on velocity in the spacetime framework and not due to relative speeds in the inertial framework.
In the spacetime framework length contraction appears as the condensation of energy substance, meaning the reduction in the wavelength. This condensation is accompanied by reduction in velocity in the spacetime framework.
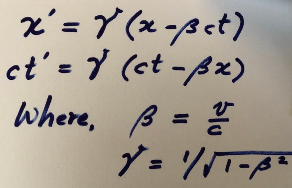
LORENTZ TRANSFORMATION
The equations that relate space-time points in one inertial system to the other are called transformation equations. For Newtonian physics those transformation equations are called Galilean, while for Einstein’s relativity theory they must be different and are called Lorentz transformations. The Lorentz transformation equations are:

The inertial systems are limited to material domain only, which forms an extremely small window on the whole electromagnetic spectrum at the extreme upper end of it. In this window the velocity is an extremely small fraction of the speed of light. In other words, the Lorentz Transformations apply only when v << c, and not otherwise.
MASS
Non-relativistic mass, or the “rest mass” is inherent to the particle. This mass “softens up” (its wavelength increases) as the velocity of the particle increases in the Spacetime Framework. The rest mass of an electron is not as hard as the rest mass of a proton. It is “softened mass.”
RELATIVISTIC MASS
The “relativistic mass” is a representation of total energy of a particle. It includes the large kinetic energy of the particle. It also includes the potential, nuclear energy, etc., but they are relatively small. In measuring the very large kinetic energy, confusion arises when velocity measured in the inertial framework is more than the velocity of light. The actual velocities of particles are never greater than the velocity of light when measured in the spacetime framework. The relativistic mass (m) is related to actual mass (m0) as follows: m = γm0.
ENERGY
Energy has two different definitions:
(a) Energy as motion of mass = kinetic energy
(b) Energy as “softened mass” = the EM spectrum
TOTAL ENERGY
The total energy of a particle is essentially given by its relativistic mass. This is known as Einstein’s famous equation for the equivalence of mass and energy, E = mc2. All energy, including kinetic energy, is equivalent to mass. Therefore, whenever the energy of a particle is increased, its mass increases.
SPACETIME
Einstein gives us a mathematical definition of spacetime. However, we may form a tangible definition of spacetime as follows: Spacetime is not nothing. Space implies extents and time implies duration. Therefore, spacetime implies “something” with extents and duration. We call that “something” to be the fundamental substance that produces the whole electromagnetic spectrum as it condenses. At the upper end of this spectrum, we have matter.
SPACETIME FRAMEWORK
Spacetime framework views the whole scale of motion from a detached viewpoint, whereas the inertial framework looks at motion from the upper end of the electromagnetic spectrum, which represents the viewpoint of matter.
SIZE OF A LIGHT PARTICLE
The size of a light particle is roughly given by its wavelength. The size of a material particle may be measured by its de Broglie wavelength. The size of a light particle is very, very large compared to the size of a material particle. A light particle is at least c times bigger than the material particle.
.

