Reference: Beginning Physics I
CHAPTER 6: WORK AND MECHANICAL ENERGY
.
KEY WORD LIST
Work, Spring Force, Kinetic Energy, Work-Kinetic Energy Theorem, Gravitational Potential Energy, Work-Energy Theorem, Total Mechanical Energy, Conservation of Mechanical Energy, Energy Transfer, Conservative Force, Gravitational Potential away from Earth, Escape Velocity
.
GLOSSARY
For details on the following concepts, please consult CHAPTER 6.
WORK
The work WF due to a constant force F acting on an object while it moves through a displacement s is defined as the component of F along the s direction multiplied by the magnitude of s.
Even though the work involves two vector quantities F and s, it itself has no direction and is thus a scalar. The units of work are those of force times distance. The work is defined so that it can be positive, negative or zero, depending on whether the component of F along s is positive, negative or zero. Total work done is just the work by the resultant force.
SPRING FORCE
A stretched spring exerts a force whose magnitude is proportional to the length of the stretch. The proportionality constant k is called the spring constant:
Fsp = – kx; F = kx
The work done by F in stretching the spring by a displacement x is
WF = ½ kx2
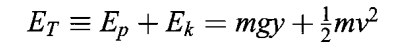
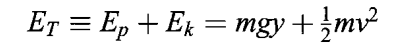
KINETIC ENERGY
The expression ½ mv2 is called the kinetic energy Ek of the mass m at velocity v. The kinetic energy has the units of work, and the SI units are Joules.
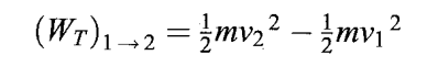
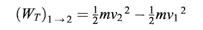
WORK-KINETIC ENERGY THEOREM
The work-kinetic energy theorem is expressed as follows.
Where WT is total work done; Ek is kinetic energy; and Ek is the change in kinetic energy in going from the initial to the final position.
It can be shown, using the calculus, that the work-kinetic energy theorem is still true for the most general possible situation. No matter how complicated the path of motion, and no matter how complicated and numerous the forces are acting on the object, the total work done on the object in any interval equals the final minus the initial kinetic energy for that interval.
GRAVITATIONAL POTENTIAL ENERGY
The expression mgy is called the gravitational potential energy Ep of the mass m at height y.
It can be shown that this equation is true for any path of an object near the earth’s surface. More generally,
WORK-ENERGY THEOREM
The work done by all forces other than gravity on an object equals the sum of the changes in the gravitational potential energy and kinetic energy of the object.
TOTAL MECHANICAL ENERGY
The sum of the potential and kinetic energies at any point is called the total mechanical energy (ET) at that point.
CONSERVATION OF MECHANICAL ENERGY
The total mechanical energy of an object stays constant (“is conserved”) throughout its motion if no forces other than gravity do work.
ENERGY TRANSFER
We can think of the work done by one system on another system as the mechanical transfer of energy between the systems.
CONSERVATIVE FORCE
Conservative force is any force that has the property that the work done by the force depends only on the starting and ending points, and not on what happened in between. The force of gravity near Earth’s surface is clearly such a force. The name “conservative” comes from the fact that if an object moves in a path that returns to the starting point, the total work done by such a force must be zero. We can define a potential energy for the conservative force. The spring force is also a conservative force.
NOTE: A conservative force of gravity is more like a force field in space that generates the same acceleration at all points in space.
GRAVITATIONAL POTENTIAL AWAY FROM EARTH
Gravitational force far from Earth’s surface is no longer constant, but it can be shown to be conservative. It thus has a potential energy. The gravitational potential energy is determined as,
ESCAPE VELOCITY
The escape velocity is the smallest burnout velocity for the rocket for no return. It is equal to
.










